Home
>
Math
>
Limits
Limits
Hard
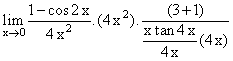
Question
is equal to :
Options
A.
B.
C.
1
D.
2
Solution
Create a free account to view solution
View Solution Free
Topic:
Limits
·
Practice all Limits questions
More Limits Questions
[x] denotes the greatest integer less than or equal to x. If f(x) = [x] [sin πx] in (-1,1), then f(x) is:...
The value of is-...
equals-...
If f( x) = , then f(x) equals-...
The value of {x−} is-...