DifferentiationHard
Question
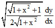
If y = cos-1
, then
is equal to -
Options
A.
B.
C.
D.None of these
Solution
y = cos-1
= ?
x = tanθ
y = cos-1
y = cos-1
y = cos-1
y = θ/2
y = 1/2 tan-1x

x = tanθ
y = cos-1
y = cos-1
y = cos-1
y = θ/2
y = 1/2 tan-1x
Create a free account to view solution
View Solution Free