Continuity and DifferentiabilityHard
Question
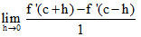
If f′(c) exists and non-zero then
is equal to -
Options
A.f′(c)
B.0
C.2f′(c)
D.None of these
Solution
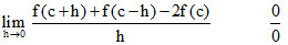
If f′(c) exists and nonzero then
term


= 0
Create a free account to view solution
View Solution FreeMore Continuity and Differentiability Questions
Let f(x) = where g(x) is an even function differentiable at x = 0, passing through the origin. Then f′(0)...Given f(x) = where { } & [ ] denotes the fractional part and the integral part functions respectively, then which of the...If y + ln(1 + x) = 0, which of the following is true ?...If f(x) = , x ≠ , x ∈ is a continuous functions, then f(π /4) is equal to-...If y = e√x + e-√x then equals -...