Continuity and DifferentiabilityHard
Question
If f(x) = | x - a | + | x + b |, x ∈ R, b > a > 0. Then -
Options
A.f′(a+) = 1
B.f′(a+) = 0
C.f′(- b+) = 0
D.f′(- b+) = 1
Solution
f(x) = | x - a | + | x + b | x | x ∈ R b > a > 0 then
f(x) = | x - a | + | x + b | b > a > 0
Let a = 1, b = 2 and 2 > 1 > 0
so f(x) = | x - 1 | + | x + 2 |
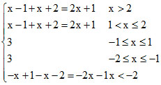
f(x) =
f(x) =
f′(x) =
so that correct answer is f′(-b+) = 0
b = 2 f′(-2+) = 0
f(x) = | x - a | + | x + b | b > a > 0
Let a = 1, b = 2 and 2 > 1 > 0
so f(x) = | x - 1 | + | x + 2 |
f(x) =
f(x) =
f′(x) =
so that correct answer is f′(-b+) = 0
b = 2 f′(-2+) = 0
Create a free account to view solution
View Solution FreeMore Continuity and Differentiability Questions
If f(x) = 3 (2x + 3)2/3 + 2x + 3 then -...′f′ is a continuous function on the real line. Given that x2 + (f(x) - 2) x - √3 - 3 = 0. Then the val...If f is differentiable in (0, 6) & f′(4) = 5 then =...Let the function f, g and h be defined as follows -f(x) = g(x) = h (x) = |x|3 for - 1≤ x ≤ 1Which of these f...Given that the derivative f’(a) exist. Indicate which of the following statement (s) is/are always true -...