Progression (Sequence and Series)Hard
Question
If x, y, z are in A.P. and tan-1x, tan-1y and tan-1z are also in A.P., then
Options
A.x = y = z
B.2x = 3y = 6z
C.6x = 3y = 2z
D.6x = 4y = 3z
Solution
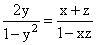
2y = x + z
and 2tan-1y = tan-1x + tan-1z
⇒ 
⇒ y2 = zx
⇒ x = y = z
Create a free account to view solution
View Solution FreeMore Progression (Sequence and Series) Questions
If the sum of first n terms of an A.P. is cn2, then the sum of squares of these n terms is...The sum of numbers lying between 10 and 200 which are divisible by 7 will be-...If di is the deviation of a class mark yi from ′a′, the ′assumed mean′ and fi is the frequency, ...The series of natural numbers is divided into groups as follows ; (1), (2,3), (4,5,6), (7,8,9,10) and so on. Find the su...The value of alogbx where a = 0.2, b = √5,, x = is-...