Application of DerivativeHard
Question
Which of the following pair(s) of curves is/are orthogonal.
Options
A.y2 = 4ax ; y = e-x/2a
B.y2 = 4ax; x2 = 4ay
C.xy = a2; x2 - y2 = b2
D.y = ax; x2 + y2 = c2
Solution
(a) 2y
= 4a ⇒
= m1
For IInd curve
= m2
m1m2 = - 1
(b) 2y
= 4a; 2x = 4a 
m1 =
m2 = 
y12 = 4ax1 ......(i)
= 4ay1 ...... (ii)
m1m2 ≠ - 1
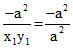
(c) y =
; x2 - y2 = b2
m1 = -
; 2x1 - 2y1m2 = 0 ⇒ m2 = 
m1m2 =
= - 1
(d) m1 =
= a ; 2x + 2ym2 = 0
m2 = -
m1m2 =
= -1
For IInd curve
m1m2 = - 1
(b) 2y
m1 =
y12 = 4ax1 ......(i)
m1m2 ≠ - 1
(c) y =
m1 = -
m1m2 =
(d) m1 =
m2 = -
m1m2 =
Create a free account to view solution
View Solution FreeMore Application of Derivative Questions
If first and (2n - 1)th terms of an A.P., G.P. and H.P. are equal and their nth terms are a, b, c respectively, then -...-The equation of normal to the curve y = x3 - 2x2 + 4 at the point x = 2 is-...If 10 harmonic means H1, H2, H3 .......H10 are inserted between 7 and - , then -...If the curve y = ax2 − 6x + b passes through (0, 2) and has its tangent parallel to x- axis at x = 3/2, then the v...If 2a + 3b + 6c = 0, then at least one root of the equation ax2 + bx + c = 0 lies in the interval -...