MonotonicityHard
Question
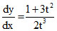
A function y = f(x) is given by x =
& y =
for all t > 0 then f is :
Options
A.increasing in (0,3/2) & decreasing in (3/2, ∞)
B.increasing in (0, 1)
C.increasing in (0, ∞)
D.decreasing in (0, 1)
Solution
Now, x =
t > 0 ⇒ x ∈ (0, 1)
Create a free account to view solution
View Solution FreeMore Monotonicity Questions
Function f(x) = x3 - 3x2 - 9x + 20 is monotonic increasing when-...The true set of real values of x for which the function, f(x) = x ln x - x + 1 is positive is...The value of a for which the function(a + 2)x3 - 3ax2 + 9ax - 1 decreases monotonically for all real x, is-...Function f(x) = 3x4 + 7x2 + 3 is...Function f(x) = log x is monotonic increasing when-...