MonotonicityHard
Question
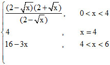
Let f(x) = 
Which of the following properties does f have on the interval (0, 6) ?
I. ln f(x) exist; II. f is continuous III. f is monotonic
Which of the following properties does f have on the interval (0, 6) ?
I. ln f(x) exist; II. f is continuous III. f is monotonic
Options
A.I only
B.II only
C.III only
D.none
Solution

f (x) =
⇒ f(x) =
So f(x) is continuous only
Create a free account to view solution
View Solution FreeMore Monotonicity Questions
Let h(x) = f(x) - (f (x))2 + (f(x))3 for every real number x. Then....Function f(x) = is monotonic increasing when-...For every value of x of the function f(x) = is...Let y = x2e−x, then the interval in which y increases with respect to x is -...If f and g are two decreasing functions such that fog is defined then fog is...