Progression (Sequence and Series)Hard
Question
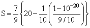
The sum of first 20 terms of the sequence 0.7,0.77, 0.777, ......, is :
Options
A.

B.

C.

D.

More Progression (Sequence and Series) Questions
The A.M. of two numbers is 34 and GM is 16, the numbers are-...Mean deviation from the mean for the observations −1, 0, 4 is...If x,y,z are in A.P. , then magnitude of its common difference is-...The change in the value of g at a height ′h′ above the surface of the earth is the same as at a depth ′...If the mean of first n natural numbers is equal to , then n is equal to-...



