MatricesHard
Question
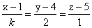
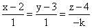
If the lines
and
are coplanar, then k can have :
and
are coplanar, then k can have :Options
A.any value
B.exactly one value
C.exactly two values
D.exactly three values
Solution
⇒ 
⇒ 
⇒ (1 + 2k) + (1 + k2) - (2 - k) = 0
⇒ k2 + 3k = 0 
Create a free account to view solution
View Solution FreeMore Matrices Questions
If A = , then A (adj A) equals -...The scalar matrix is -...If A, B are two matrices such that A + B = , A − B = then AB equals -...If A is a 3 × 3 matrix such that |5.adjA| = 5, then |A| is equal to :...Matrices are formed using four given distinct real numbers, taking all at a time, of all possible orders. Number of such...