Sound WavesHard
Question
A massless rod is suspended by two identical strings AB and CD of equal length. A block of mass m is suspended from point O such that BO is equal to ′x′ Further, it is observed that the frequency of 1st harmonic (fundamental frequency) in AB is equal to 2nd harmonic frequency in CD. Then, length of BO is :


Options
A.
B.
C.
D.
Solution

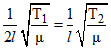
According to question
T2 = T1/4
For rotational equilibrium,
T1x = T2(L - x) ⇒ x = L/5
Create a free account to view solution
View Solution FreeMore Sound Waves Questions
A source of sound emits sound waves at frequency f0. It is moving towards an observer with fixed speed vs (vs < v, wh...A horizontal platform with an object placed on it is executing simple harmonic motion in the vertical direction. The amp...A plane progressive wave of frequency 25 Hz, amplitude 2.5 × 10-5 m and initial phase zero moves along the negative...For a sine wave passing through a medium, let y be the displacement of a particle, v be its velocity and a be its accele...The transverse displacement y (x,t) of a wave on a string is given by y(x, t) = e-(ax2+bt2 +2√ab xt). This represe...