KinematicsHard
Question
as a = - αu where α is a small constant. If the velocity of the particle is u0 at t = 0, then :-
Options
A.the particle will continue to move for a very long time
B.velocity of the particle will decrease by 50% in a time of 
C.the total distance covered by the particle will be 
D.all of the above
Solution
a = u.
= - αu
du = - α
dx
- u0 = - αx
or x =
(3rd option is correct)
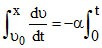
Further,
= - αv or
dt
log(u0) - log(0) = αt′
Since log (0) = - ∞
∴ t′ = ∞ (1st option is also correct)
Again, α
dt = -
(Since 50% of u0 is 0/2)
αt″ =
αt″ = log 2
or t″ =
(2nd option is also correct)
- u0 = - αx
or x =
Further,
log(u0) - log(0) = αt′
Since log (0) = - ∞
∴ t′ = ∞ (1st option is also correct)
Again, α
αt″ =
αt″ = log 2
or t″ =
Create a free account to view solution
View Solution FreeMore Kinematics Questions
Which of the following is smallest unit...A car starting from rest accelerates at the rate f through a distance S, then continues at constant speed for time t and...Which of the following velocity-time graphs shows a readlistic situation for a body in motion ?...A stone tied to the end of string 80 cm long whirled a horizontal circle a constant tangential acceleration. If the ston...An aeroplane is flying at a uniform speed v m/s at a height h from the ground. If the angle subtended at an observation ...