Properties of TriangleHard
Question
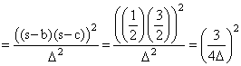
Let PQR be a triangle of area ᐃ with a = 2, b =
and c =
, where a, b, and c are the lengths of the sidesof the triangle opposite to the angles at P, Q and R respectively. Then
equals
and c =
, where a, b, and c are the lengths of the sidesof the triangle opposite to the angles at P, Q and R respectively. Then
equalsOptions
A.

B.

C.

D.

More Properties of Triangle Questions
In the adjacent figure ′P′ is any interior point of the equilateral triangle ABC of side length 2 units . If...If a = 9, b = 8 and c = x satisfies 3 cos C = 2, then -...With usual notations, in a ᐃABC, is equal to -...r2 r3 + r3 r1 + r1 r2 =...In any triangle ABC, is always greater than -...



