Introduction to 3DHard
Question
The equation of a plane passing through the line of intersection of the planes x + 2y + 3z = 2 and x - y + z = 3 and at a distance
from the point (3, 1, - 1) is
from the point (3, 1, - 1) isOptions
A.5x - 11y + z = 17
B.√2x + y = 3√2 - 1
C.x + y + z = √3
D.x - #8730;2y = 1 - √2
Solution
Equation of required plane is
P ≡ (x + 2y + 3z - 2) + λ(x - y + z - 3) = 0
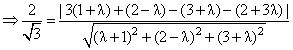
⇒ (1 + λ)x + (2 - λ)y + (3 + λ)z - (2 + 3λ) = 0
Its distance from (3, 1, - 1) is

⇒ 3λ2 + 4λ+ 14 = 3λ2

-5x + 11y - z + 17 = 0.
P ≡ (x + 2y + 3z - 2) + λ(x - y + z - 3) = 0
⇒ (1 + λ)x + (2 - λ)y + (3 + λ)z - (2 + 3λ) = 0
Its distance from (3, 1, - 1) is


⇒ 3λ2 + 4λ+ 14 = 3λ2
-5x + 11y - z + 17 = 0.
Create a free account to view solution
View Solution FreeMore Introduction to 3D Questions
The number of straight lines are equally inclined to the three dimensional co-ordinate axes, is -...If P1 and P2 are the lengths of the perpendiculars from the points (2, 3, 4) and (1, 1, 4) respectively from the plane 3...The shortest distance between the lines and is -...A point P (x, y, z), moves parallel to yz-plane. Which of the three variables x, y, z remain fixed ?...The point of intersection of the lines , is -...