Progression (Sequence and Series)Hard
Question
Let a1, a2, a3,..... be in harmonic progression with a1 = 5 and a20 = 25. The least positive integer n forwhich an < 0
Options
A.22
B.23
C.24
D.25
Solution
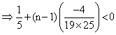
a1, a2, a3, are in H.P.
.......are in A.P.
+ (n - 1) d > 0, where 


n - 1 >
+ 1 ⇒ n ≥ 25.
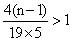
.......are in A.P.
+ (n - 1) d > 0, where 


n - 1 >

+ 1 ⇒ n ≥ 25.Create a free account to view solution
View Solution FreeMore Progression (Sequence and Series) Questions
The S.D of the first n natural numbers is-...If each observation of a raw data whose variance is σ2, is increased by λ, then the variance of the new set i...In the four numbers first three are in G.P. and last three are in A.P. whose common difference is 6. If the first and la...The sum of the series 20C0 20C1 + 20C2 - 20C3 + .... - .... + 20C10 is...If the mean of numbers 27, 31, 89, 107, 156 is 82, then the mean of 130, 126, 68, 50, 1 is-...