Set, Relation and FunctionHard
Question
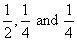
A ship is fitted with three engines E1, E2 and E3. The engines function independently of each other with respective probabilities
For the ship to be operational at least two of its engines must function. Let X denote the event that the ship is operational and let X1, X2 and X3 denote respectively the events that the engines E1, E2 and E3 are functioning. Which of the following is(are) true ?
For the ship to be operational at least two of its engines must function. Let X denote the event that the ship is operational and let X1, X2 and X3 denote respectively the events that the engines E1, E2 and E3 are functioning. Which of the following is(are) true ?Options
A.

B.P [Exactly two engines of the ship are functioning | X] = 

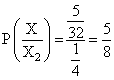
C.P [X | X2] = 

D.P [X | X1] = 

Solution
P (X1) =
, P(X2) =
P(X3) = 

(A) = P(X1C / X) =
(B) P [exactly two engines of the ship are functioning | X] =
(C)
(D)
, P(X2) =
P(X3) = 

(A) = P(X1C / X) =
(B) P [exactly two engines of the ship are functioning | X] =
(C)

(D)

Create a free account to view solution
View Solution FreeMore Set, Relation and Function Questions
If R is a relation from a finite set A having m elements to a finite set B having n elements, then the number of relatio...If f and g are differentiable functions in [0, 1] satisfying f(0) = 2 = g(1), g(0) = 0 and f(1) = 6, then for some c ...Which of the following statement(s) is/are correct about continuous functions y = f(x) & y = g(x) ?...Two sets A and B are as under A = {(a, b) ∈R × R : |a - 5| < 1 and |b - 5| < 1}; B = {(a, b)∈R &#...If w = α + iβ, where β ≠ 0 and z ≠ 1, satisfies the condition that is purely real, then the s...