EllipseHard
Question
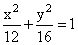
The ellipse E1 :
= 1 is inscribed in a rectangle R whose sides are parallel to the coordinate axes. Another ellipse E2 passing through the point (0, 4) circumscribes the rectangle R. The eccentricity of the ellipse E2 is
= 1 is inscribed in a rectangle R whose sides are parallel to the coordinate axes. Another ellipse E2 passing through the point (0, 4) circumscribes the rectangle R. The eccentricity of the ellipse E2 isOptions
A.

B.

C.

D.

Solution

Equation of ellipse is (y + 2) (y - 2) + λ (x + 3) (x - 3) = 0
It passes through (0, 4) ⇒ λ =
Equation of ellipse is


Alternate
Let the ellipse be
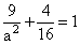
as it is passing through (0, 4) and (3, 2). So, b2 = 16 and

⇒ a2 = 12
So, 12 = 16 (1 - e2)
⇒ e = 1/2.
Create a free account to view solution
View Solution FreeMore Ellipse Questions
The tangent at P on the ellipse meets the minor axis in Q, and PR is drawn perpendicular to the minor axis and C is the ...For the ellipse = 1, the eccentricity is -...The tangent at any point on the ellipse = 1 meets the tangents at the vertices A, A′ in L and L′. Then AL. A...If the distance between the foci of an ellipse be equal to its minor axis, then its eccentricity is-...If F1 and F2 are the feet of the perpendiculars from the foci S1 & S2 of an ellipse = 1on the tangent at any point P on ...