Indefinite IntegrationHard
Question
The integral
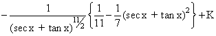
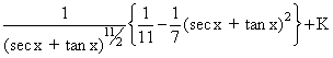
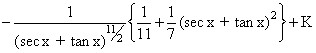
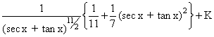
equals (for some arbitrary constant K)
equals (for some arbitrary constant K)Options
A.

B.

C.

D.

Solution

Let sec x + tan x = t
⇒ sec x - tan x = 1/t
Now (sec x tan x + sec2 x) dx = dt
sec x (sec x + tan x) dx = dt
sec x dx =
= sec x






Create a free account to view solution
View Solution Free