Maxima and MinimaHard
Question
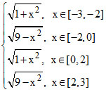
f(x) =
. Then f(x) has -
Options
A.jump of discontinuity at x = 0 is 2
B.a point of maxima at x = - 2 and a point of minima at x = 2
C.a point of minima at x = - 2 and a point of maxima of x = 2
D.no stationary point
Solution

A(2, √5)
B(-2, √5)
f(x) =

clearly x = - 2 is point of min
x = 2 is point of max
Create a free account to view solution
View Solution FreeMore Maxima and Minima Questions
If f′(c) changes sign from positive to negative as x passes through c, then,...Which of the following represents maximum number of species among global biodiversity ?...If value of the function a2 sec2 θ + b2 cosec2 θ (a > 0, b > 0) is minimum, then θ equals -...In the interval (− 2, 2), the minimum value of x3 − 3x + 4 is -...If f (x) = 4x3 - x2 - 2x +1 and g(x) = then has the value equal to :...