LimitsHard
Question
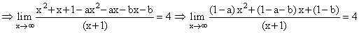
If
= 4, then
= 4, thenOptions
A.a = 1, b = 4
B.a = 1, b = - 4
C.a = 2, b = - 3
D.a = 2, b = 3
Solution
Given 

⇒ 1 - a = 0 and 1 - a - b = 4 ⇒ b = - 4, a = 1.


⇒ 1 - a = 0 and 1 - a - b = 4 ⇒ b = - 4, a = 1.
Create a free account to view solution
View Solution FreeMore Limits Questions
Which of the following function(s) defined below has/have single point continuity....If a differentiable function f satisfies f ∀ x, y ∈ R, then f(x) is equal to...equals-...Which one of the following best represents the graph of the function f(x) = tan-1 (nx) ?...has the value equal to -...