Surface ChemistryHard
Question
For a > b > c > 0, the distance between (1, 1) and the point of intersection of the lines ax + by + c = 0 and bx + ay + c = 0 is less than 2√2 Then
Options
A.a + b - c > 0
B.a - b + c < 0
C.a - b + c > 0
D.a + b - c < 0
Solution
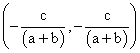
Point of intersection of both lines is
Distance between
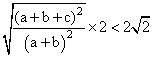
Distance =
a + b + c < 2(a + b)
a + b - c > 0
According to given condition option (C) also correct.

Distance between

Distance =

a + b + c < 2(a + b)
a + b - c > 0
According to given condition option (C) also correct.
Create a free account to view solution
View Solution FreeMore Surface Chemistry Questions
Tyndall effect is shown by :...The diameter of colloidal particle is of the order :...Arsenic (III) sulphide forms a sol with a negative charge. Which of the following ionic substances should be most effect...A colloidal solution is subjected to an electrical field. The particles move towards anode. The coagulation of same sol ...Which of the following statements is (are) false ?...