Math miscellaneousHard
Question
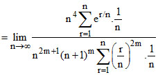
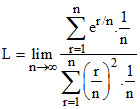
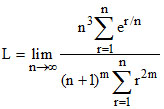
If L =
is non-zero finite real, then -
Options
A.L = 3(e - 1)
B.L = e - 1
C.m = 1
D.m = 
Solution
for L to be non zero finite m = 1
Create a free account to view solution
View Solution FreeMore Math miscellaneous Questions
If In = dx, n = 0, 1, 2, ... , then...Let I = Then which one of the following is true?...For a normal eye, the cornea of eye provides a converging power of 40 D and the least converging power of the eye lens b...Let F(x) = , x > 0. If dx = F(k) - F(1), then one of the possible values of k, is...If the system of linear equations x + 2ay + az = 0 x + 3by + bz = 0 x + 4cy + cz = 0 has a non - zero solution, then a, ...